大数定律及中心极限定理

发表于 2025-05-14 本文字数 0 字 阅读时长 1 分钟
  • duoxichangan
首页 学习学习我爱学习 概率论


概率论 大数定律 中心极限定理
更新于 2025-05-14 阅读次数 次

请我喝[茶]~( ̄▽ ̄)~*

duoxichangan 微信支付

微信支付

duoxichangan 支付宝

支付宝

  • 本文作者: duoxichangan @其实连按部就班也比想象中难
  • 本文链接: http://duoxichangan.github.io/2025/05/14/学习学习我爱学习/概率论/大数定律及中心极限定理/
  • 版权声明: 本站所有文章除特别声明外,均采用 (CC)BY-NC-SA 许可协议。转载请注明出处!
上一篇 数据结构

线段树

下一篇 概率论

样本及抽样分布

  • 概率论的基本概念
  • 随机变量及其分布
  • 多维随机变量及其分布
  • 随机变量的数字特征
  • 伽马函数与伽马分布
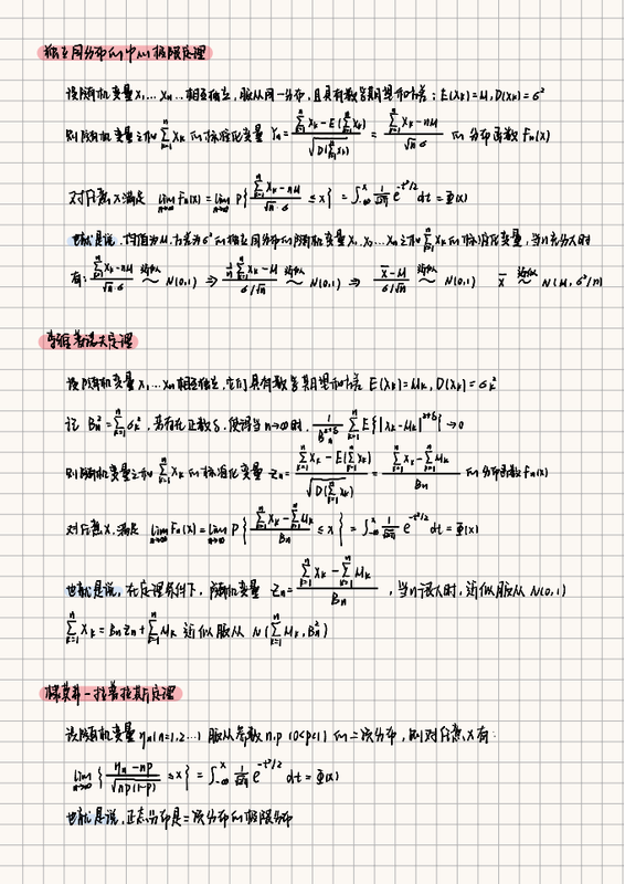
  • 大数定律及中心极限定理
  • 样本及抽样分布
  • 参数估计
duoxichangan

duoxichangan

238 文章
33 分类
122 标签
  • 首页
  • 文章
    • 归档
    • 分类
    • 标签

随机文章

  • 学习学习我爱学习 高等数学
    拉格朗日中值定理
  • 程序设计 杂题集
    第七届传智杯省赛(第一场)
  • 学习学习我爱学习 期末复习
    线性代数期末复习
  • 学习学习我爱学习 高等数学
    积分中值定理
  • 程序设计 AtCoder
    ABC-378
  • 学习学习我爱学习 高等数学
    导数定义
  • 学习学习我爱学习 高等数学
    偏导数
  • 学习学习我爱学习 概率论
    伽马函数与伽马分布
  • 程序设计 Codeforces
    CF-1020
  • 科研实践 推荐系统
    RNN循环神经网络

最新评论

    © 2025 – 2026 duoxichangan @ duoxichangan
    526k 字 | 7:58
    基于 Hexo & Theme.Shoka