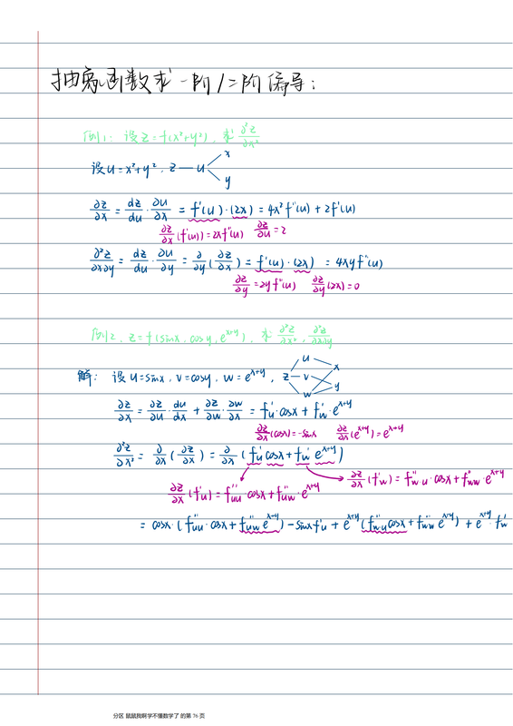
多元复合函数的求导法则

发表于 2025-02-09 本文字数 0 字 阅读时长 1 分钟
  • duoxichangan
首页 学习学习我爱学习 高等数学


多元函数 导数
更新于 2025-02-09 阅读次数 次

请我喝[茶]~( ̄▽ ̄)~*

duoxichangan 微信支付

微信支付

duoxichangan 支付宝

支付宝

  • 本文作者: duoxichangan @其实连按部就班也比想象中难
  • 本文链接: http://duoxichangan.github.io/2025/02/09/学习学习我爱学习/高等数学/多元复合函数的求导法则/
  • 版权声明: 本站所有文章除特别声明外,均采用 (CC)BY-NC-SA 许可协议。转载请注明出处!
上一篇 高等数学

全微分

下一篇 高等数学

隐函数求导

  • 三角积分表
  • 泰勒公式
  • 换元积分
  • 无穷小
  • 间断点
  • 反函数
  • 函数的连续
  • 极限语言
  • 零点定理介值定理
  • 导数定义
  • 高阶导数
  • 隐函数的导数
  • 对数求导法
  • 参数方程的导数
  • 微分
  • 罗尔定理
  • 拉格朗日中值定理
  • 柯西中值定理
  • 单调性凹凸性
  • 极值
  • 最值
  • 函数图形的描绘
  • 定积分特性
  • 第二类换元法求不定积分
  • 分部积分
  • 有理函数的积分
  • 积分中值定理
  • 微积分公式
  • 微分方程
  • 齐次方程
  • 一阶线性微分方程
  • 可降阶的高阶微分方程
  • 高阶线性微分方程
  • 常系数齐次线性微分方程
  • 常系数非齐次线性微分方程
  • 向量代数
  • 平面及其方程
  • 空间直线及其方程
  • 空间内的例题杂解
  • 曲面及其方程
  • 空间曲线及其方程
  • 平面点集
  • n维空间
  • 多元函数
  • 偏导数
  • 高阶偏导数
  • 全微分
  • 多元复合函数的求导法则
  • 隐函数求导
  • 多元函数的极值及求法
  • 切与法
  • 方向导数与梯度
  • 二重积分
  • 三重积分
  • 重积分的应用
  • 对弧长的曲线积分
  • 对坐标的曲线积分
  • 格林公式
  • 对面积的曲面积分
  • 对坐标的曲面积分
  • 常数项级数的审敛法
  • 题目集
  • 早知现在何必当初
duoxichangan

duoxichangan

238 文章
33 分类
122 标签
  • 首页
  • 文章
    • 归档
    • 分类
    • 标签

随机文章

  • 程序设计 Codeforces
    CF-991
  • 程序设计 爬虫
    hhtp和https协议
  • 程序设计 2025信息学院蓝桥杯专题训练
    专题二【搜索】
  • 学习学习我爱学习 运筹学
    运输问题
  • 程序设计 杂题集
    2024蓝桥杯国赛B组
  • 学习学习我爱学习 高等数学
    切与法
  • 学习学习我爱学习 高等数学
    无穷小
  • 学习学习我爱学习 高等数学
    极值
  • 程序设计 小学数学
    逆元
  • 程序设计 Codeforces
    CF-1017

最新评论

    © 2025 – 2026 duoxichangan @ duoxichangan
    526k 字 | 7:58
    基于 Hexo & Theme.Shoka